
近日,成人短视频 物理系王伟民教授和中科院物理所李玉同教授研究团队,利用自主开发的极化QED-PIC程序(PIC:particle-in-cell,粒子模拟)对未来的百拍瓦激光与固体相互作用中产生的大电量、高密度正负电子束的自旋极化进行了探索研究。发现采用激光固体靶实验上常用构型(即线偏振激光与具有预等离子体的固体靶相互作用)就可在百拍瓦激光装置上产生极化率30%、电量30纳库的正电子束,其角通量可达到1012sr-1,在特定能量段...

近日,成人短视频 物理学系-程志海教授课题组和国家纳米科学中心-王振兴研究员课题组等多个研究团队通力合作,研发了一种在铁电半导体通道中采用光诱导铁电反转机制的超高灵敏光电晶体管。该类型光电二极管显示了创纪录的低噪声等效功率为7.9 × 10−22 W Hz−1/2,创纪录的高比探测率为6.34 × 1017 Jones,在光子计数模式下灵敏度接近20光子,在上升/衰减周期内快速时间响应为260 µs/50 ns。此外,其还可以作为一种光电存储器....

近日,成人短视频 物理学系王聪博士、雷和畅教授、季威教授等人与中国科学院物理研究所/北京凝聚态物理研究中心高鸿钧院士研究团队李更副研究员等、美国波斯顿学院的汪自强教授等多个团队通力合作,研究了一种具有外尔节点的手性晶体CoSi。理论预测结合实验测量共同发现了CoSi(001)表面存在一种非常规的单轴电荷密度波(CDW)序,并发现该关联CDW态被晶格手性锁定。相关研究成果以“Chirality locking charge density waves in...

二维材料(2DMs)与器件暴露在外界环境下会伴随老化、表面水氧吸附与污染等问题,使物理性能下降,因此如何对其进行封装保护成为了研究热点。h-BN作为被广泛采用的封装材料,一般是通过转移技术实现,而转移过程中带来的样品破损、化学污染、界面空腔等问题一直阻碍着其走向实际应用。因此,发展一种直接在2D材料或器件上CVD生长h-BN盖层的技术,具有共形生长的特点,可以获得洁净、接触紧密的封装界面,具有重要的实际应用意义...

2020年10月,成人短视频 物理学系季威教授研究组及合作团队通过理论计算和实验测量发现了世界上首个单分子驻极体Gd@C82,在驻极体被人类合成100年后将其物理尺寸压缩到极致的单分子水平(~1 nm,十亿分之一米)。近日,他们与香港理工大学刘树平教授研究组及英国剑桥大学Manish Chhowalla教授等合作,在低维极化材料领域又获重要突破,通过理论计算和实验测量,国际上首次在仅有6个原子层厚的非转角二维双层异质结中发现了面外...

由于液体(尤其是液态水)对太赫兹波的强吸收,以液体为介质的太赫兹波产生和探测长期以来被认为是无法实现的。2017年报道了强激光激发水能够产生太赫兹波,但是其产生机制并不清晰,无法应用其逆过程对太赫兹波进行探测。近日,成人短视频 王伟民教授、北京理工大学赵跃进教授和首都师范大学张亮亮教授联合团队提出通过四波混频的物理机制,首次实现了基于液态水对宽带太赫兹波的相干探测。实验中将fs强激光和宽带太赫兹波....

相比于氮化镓体材料,二维氮化镓因其两字限制效应具有深紫外区间的带隙、优秀的机械应变能力和独特的电子传输性质,在深紫外光电子器件和柔性器件领域具有广阔的应用前景。然而由于纤锌矿的体结构,二维氮化镓难以通过机械剥离法直接获得。目前制备大面积的具有超宽带隙的二维氮化镓依然是一个大的挑战。近日,陈珊珊教授团队采用等离子体增强化学气相沉积系统(PECVD)合成了大面积超薄、宽带隙的二维氮化镓。相比于传统使用的...

近日,成人短视频 物理学系王聪博士、季威教授等人与华中科技大学付英双教授等多个实验团队通力合作,研究了一种宏观呈现出铁磁性的层状材料CrTe2。理论预测结合实验测量共同证实了CrTe2在其二维极限下(单层中) 出人意料地呈现出本征反铁磁序,并探索了其磁矩取向在外场下的调控规律。相关研究成果以“Spin mapping of intralayer antiferromagnetism and field-induced spin reorientation in monolayer CrTe2”(单层CrTe2中...

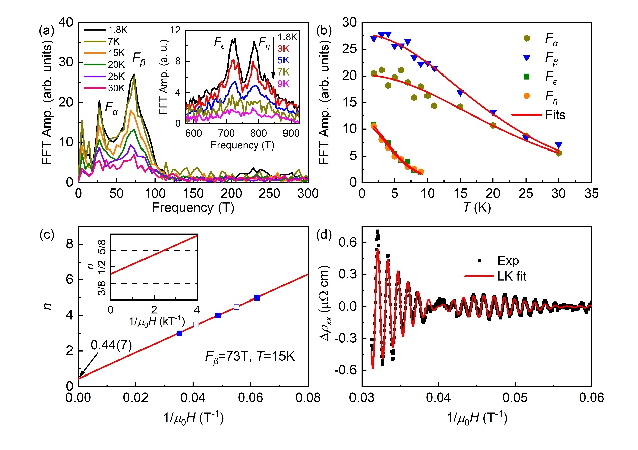
笼目(kagome)材料由于包含特殊的晶格结构而表现出许多新的物理性质。对于kagome金属,其一般具有非平庸的拓扑电子结构,例如Dirac点、鞍点和平带等。如果这种kagome金属还拥有长程磁序,则会出现大的反常霍尔效应、负磁阻等一系列奇异的物理现象。因此,kagome金属已成为研究关联拓扑材料中新物态和新现象的重要平台。近期,一类新型准二维kagome体系AV3Sb5 (A = K, Rb, Cs)引起了人们的极大关注。首先,实验表明该体系在90-1...

近日,成人短视频 物理学系季威教授研究组,阿尔托大学杜罗军博士、孙志培教授研究组和中国科学院物理研究所张广宇研究员研究组合作,发现了红磷(一种准一维纤维状材料)中的巨大的线性/非线性光学各向异性和高发射率,相关研究成果以“Giant anisotropic photonics in the 1D van der Waals semiconductor fibrous red phosphorus(一维范德瓦尔斯半导体纤维红磷中的巨型各向异性光子学)”为题于2021年8月10日发表在《自然·...